This page has been automatically translate with Google from the Italian language.

Chapter 7 - a model developed in a company of the production field and maintenance radar.

7.1.1 Calculation of the costs for the support.

For the calculation of both costs, us it is puttinges in the hypothesis that, once that the card breaks off this cannot be repaired, but in order to support the system it must reproduce the entire card: for this reason, in fact, they are calculates the resolution costs beginning from to you holding account of the requirementses of the cards in the time, calculated the MTBF of the single LRU.
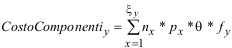
The costs of Last Buy, for every card, have been calculate to you with the following formula:



The terms of the operation are:
 Population of present members of type x on the card y.
 Unit price of purchase of member x.
 Requirementses in the time of the card y.
 Maggiorativo coefficient that comes used in order to consider the unavoidable increase of the cost of purchase of the members; based on the experience, this value has been placed equal to 200% for the members with FR=6, by now obsolete. For the others, having assumed a former speech ante, we have not applied some maggiorazione to the purchase price, in how much comes exactly supposed to acquire them before that they become effectively obsolete.
 Types of critical members present us on the card y.

The cost of maintenance to supply of the members acquires to you has been calculated with the following formula:


y = Percentage on the alive cost of the materials that holds account of all the factors of cost connects you to storing. The value has been placed equal to 20%.

Such cost has been chargeed to several the years and then brought up-to-date to 2006 for being able to add it with the expenditure for the purchase of the members with FR=6: as it is Notes from the economic theory, in fact, a same amount of money does not have the same value in two various periods of time because of the devaluation of the currency had to the inflation.
With such term the phenomenon is indicated for which the cost of an activity or a whichever element it increases with passing of the time.
Also being a enough meaningful factor, generally, in a LLC analysis, which our experimentation represents a part, it is neglected and work with the costs puts into effect them; to the term of the analysis then these come bring up-to-date to you using affixed models to you for their revaluation.
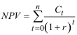
The method used for the update is that one of the Net Present Value, whose formula is following:


The terms in it contained are:
t = Periods in which it has been divided the temporal interval.
Ct = Cash flow, in this case expenditure for the maintenance to supply or the purchase I give material, relative to the period t-esimo.
n = Number of periods in which it has been divided the temporal interval. In the event particular every hard period a year, therefore n=18 in how much considers also the period t=0 correspondent to 2006: the years of duration of a CLS for the radar under investigation, in fact, are 19.
r = Discount rate, that is the cost of capital them for the company. In the simulation, it has been placed equal to 12%.


Once identified the LRU requirementses, I can also calculate the redesign costs.
The formula in order to calculate the redesign costs is following:


Therefore, it comes calculated like the sum of the costs to support in order to redesign the members, more the cost than fabrication of the new card.
As far as the obsolete members to replace with others, it comes assumed to choose members that they are at the beginnig of the life cycle so as to not to have other problems of obsolescence in the rest of the CLS.
Moreover it is assumed that the new members cost like the old ones of the same tipologia, at the present moment.
The used formula in order to estimate this cost is following:


Unit cost of fabrication of the card y that it holds account of the cost of the materials and the actual costs of fabrication.


Whose the terms have meant following:

Hour cost of the specialistic staff who has been placed equal to 60€.
Necessary hours of labor to redesign of one the tipologia of equal obsolete members assumed to 40, based on the experience.
Types of critical members present us on the card y.
Therefore the necessary cost of labor to the redesign is legacy, to the criticità of the card: more they are the critical types present us on it, plus coast to redesign it.
In other cases (FR=5; 4; 3), the used formulas have been the same ones, but beyond to the costs of maintenance to supply, it charges to you to the relati to you periods obviously, they have been brings up-to-date also the costs to you of purchase of the members and labor for the redesign. They change also the indices obviously the summary one in order to calculate the cost of maintenance to supply.
Having deliberate hour both costs for the supportabilità of the cards with members with FR=6, I choose the minimal cost between the two: this will be the minimal cost in order to support at least containing card y a member with FR=6.
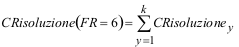
The cost total of resolution is the sum of all the minimums, that is


Where k it is the number of LRU with at least a member with FR=6.

To this point, like saying previously, the minimum between the two costs is attempted; therefore, for every LRU, the cost of resolution it will be calculated according to the following criterion:


The resolution cost total is:


To these costs, moreover it has been added a fixed, independent share from the LRU and their situation of obsolescence, recurrent to alternate years, that it holds account of necessary expenses to the monitoring activity: even if it has been used a proattivo approach that it tries to preview the future development of the situation, in fact, must hold in consideration the uncertainty of which unavoidablly is slices one in the long term forecast.
For this reason, therefore, it must preview a monitoring activity, to carry out at least every other year and that it verifies eventual scostamenti from the assumed situation.
For the calculation of the costs legacies to the monitoring the necessary number of hours to monitorare the 54 cards in issue has been considered.
In the course of the trattazione but, for reasons of privacy business, the cost of monitoring it will come considered one constant, M, whose value is present in the brought back cash flows in Appendix B, without esplicitare the formula that has generated it.

 


Top | Summary | < < Previous | Next > >
>> Home Page newsletter.unitec.it <<