Capitolo 7 - Un modello sviluppato in un'azienda del settore di produzione e manutenzione radar.

7.1.1 Calcolo dei costi per la supportabilità.

Per il calcolo di entrambi i costi, ci si è messi nell'ipotesi che, una volta che la scheda si rompa questa non possa essere riparata, ma per supportare il sistema bisogna riprodurre l'intera scheda: per questo motivo, infatti, si sono calcolati i costi di risoluzione tenendo conto del fabbisogno delle schede nel tempo, calcolato a partire dagli MTBF delle singole LRU.
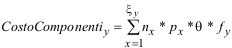
I costi di Last Buy, per ogni scheda, sono stati calcolati con la seguente formula:



I termini dell'operazione sono:
 Popolazione di componenti del tipo x presenti sulla scheda y.
 Prezzo unitario d'acquisto del componente x.
 Fabbisogno nel tempo della scheda y.
 Coefficiente maggiorativo che viene usato per considerare l'inevitabile aumento del costo d'acquisto dei componenti; in base all'esperienza, questo valore è stato posto uguale al 200% per i componenti con FR=6, ormai obsoleti. Per gli altri, avendo ipotizzato un discorso ex ante, non abbiamo applicato alcuna maggiorazione al prezzo d'acquisto, in quanto viene appunto supposto di acquistarli prima che diventino effettivamente obsoleti.
 Tipi di componenti critici presenti sulla scheda y.

Il costo di mantenimento a scorta dei componenti acquistati è stato calcolato con la seguente formula:


y = Percentuale sul costo vivo dei materiali che tiene conto di tutti i fattori di costo collegati all'immagazzinamento. Il valore è stato posto uguale al 20%.

Tale costo è stato imputato ai vari anni e poi attualizzato al 2006 per poterlo sommare con l'esborso per l'acquisto dei componenti con FR=6: come è noto dalla teoria economica, infatti, una stessa quantità di denaro non ha lo stesso valore in due diversi periodi di tempo a causa della svalutazione della moneta dovuti all'inflazione.
Con tale termine si indica il fenomeno per cui il costo di un'attività o di un qualsiasi elemento aumenta con il passare del tempo.
Pur essendo un fattore abbastanza significativo, generalmente, in un'analisi di LLC, quale la nostra sperimentazione rappresenta una parte, lo si trascura e si opera con i costi attuali; al termine dell'analisi poi questi vengono attualizzati utilizzando appositi modelli per la loro rivalutazione.
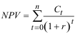
Il metodo usato per l'attualizzazione è quello del Net Present Value, la cui formula è la seguente:


I termini in essa contenuti sono:
t = Periodi in cui è stato diviso l'intervallo temporale.
Ct = Flusso di cassa, in questo caso esborso per il mantenimento a scorta o per l'acquisto do materiale, relativo al periodo t-esimo.
n = Numero di periodi in cui è stato diviso l'intervallo temporale. Nel caso particolare ogni periodo dura un anno, dunque n=18 in quanto si considera anche il periodo t=0 corrispondente al 2006: gli anni di durata di un CLS per il radar in esame, infatti, sono 19.
r = Tasso di sconto, ovvero il costo del capitale per l'azienda. Nella simulazione, è stato posto pari al 12%.


Una volta identificato il fabbisogno di LRU, posso anche calcolare i costi di riprogettazione.
La formula per calcolare i costi di riprogettazione è la seguente:


Dunque, viene calcolato come la somma dei costi da sostenere per riprogettare i componenti, più il costo di fabbricazione della nuova scheda.
Per quanto riguarda i componenti obsoleti da sostituire con altri,viene ipotizzato di scegliere componenti che siano all'inizio del ciclo di vita in modo da non avere altri problemi di obsolescenza nel resto del CLS.
Inoltre si ipotizza che i nuovi componenti costino come i vecchi della stessa tipologia, al momento attuale.
La formula utilizzata per valutare questo costo è la seguente:


Costo unitario di fabbricazione della scheda y che tiene conto del costo dei materiali e dei costi effettivi di fabbricazione.


I cui i termini hanno il seguente significato:

Costo orario del personale specializzato che è stato posto uguale a 60€.
Ore di manodopera necessarie al redesign di una tipologia di componenti obsoleti ipotizzato pari a 40, in base all'esperienza.
Tipi di componenti critici presenti sulla scheda y.
Dunque si è legato il costo di manodopera necessario al redesign, alla criticità della scheda: più sono i tipi critici presenti su di essa, più costa riprogettarla.
Negli altri casi (FR=5; 4; 3), le formule usate sono state le stesse, ma oltre ai costi di mantenimento a scorta, imputati ovviamente ai relativi periodi, sono stati attualizzati anche i costi di acquisto dei componenti e di manodopera per il redesign. Cambiano ovviamente anche gli indici alla sommatoria per calcolare il costo di mantenimento a scorta.
Avendo ora calcolato entrambi i costi per la supportabilità delle schede con componenti con FR=6, scelgo il costo minimo fra i due: questo sarà il costo minimo per supportare la scheda y contenente almeno un componente con FR=6.
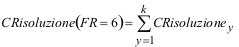
Il costo totale di risoluzione è la somma di tutti i minimi, ovvero


Dove k è il numero di LRU con almeno un componente con FR=6.

A questo punto, come detto in precedenza, si cerca il minimo fra i due costi ; dunque, per ogni LRU, il costo di risoluzione sarà calcolato secondo il criterio seguente:


Il costo di risoluzione totale è:


A questi costi, inoltre è stata aggiunta un'aliquota fissa, indipendente dalle LRU e dalla loro situazione di obsolescenza, ricorrente ad anni alterni, che tiene conto delle spese necessarie all'attività di monitoraggio: anche se è stato usato un approccio proattivo che tenta di prevedere lo sviluppo futuro della situazione, infatti, bisogna tenere in considerazione l'incertezza di cui inevitabilmente è affetta una previsione a lungo termine.
Per questo motivo, dunque, bisogna prevedere un'attività di monitoraggio, da effettuare almeno ogni due anni e che verifichi eventuali scostamenti dalla situazione ipotizzata.
Per il calcolo dei costi legati al monitoraggio si è considerato il numero di ore necessario a monitorare le 54 schede in questione.
Nel corso della trattazione però, per motivi di privacy aziendale, il costo di monitoraggio verrà considerato una costante, M , il cui valore è presente nei flussi di cassa riportati in Appendice B, senza esplicitare la formula che lo ha generato.

 


Top| Sommario| << Precedente | Successiva >>
>> Home Page newsletter.unitec.it <<