Chapter 4: The cost analysis of the outsourcing of supplyings with the A.B.C.: the case Unitec Gmbh
4.4. The costs of the externalization of the supplying process.
Also the assessment of the costs legacies to the externalization of the supplying process is based
on the principle of the activity based costing.
In the within of this job the effects of the relation tightened with Unitec must in the first place be measured, on the single
activities of the process of supplying of the society in issue.
It is made of the terziarization interest a period of two years, from 2001 to 2003, in which the society customer it has
undertaken one partnership with Unitec in order to operate the Outsourcing of supplyings.
The increase of this decision
has been graduates them near the customer, so that the inner process of supplying of the products of wraps B and C has initially
endured a reduction of the workload of the unit acquires and subsequently it has been able to carry out the process for the
products of you wrap B and C without the participation of the unit acquires.
Both this is made will be developed in the
paragraphs succeeded considering like gives you of departure the structure to you of the costs illustrated in the table the 4.1,
effects of the Outsourcing is then confronts to you with the situation of the costs without the partnership of the Unitec.
4.4.1. The costs of the externalization of the process of supplying with the participation of the unit acquire.
This paragraph analyzes the intermediate phase to the Outsourcing of supplyings, in which the unit
purchases it participates to supplying of the products of you wrap B and C.
Also in this case they will be finds the times of the single activities and the percentage to you of loading of the costs on
the activities.
The activity of demand for material of the unit production remains invariata in this phase,
for which it is the times that the percentages of rispecchiano loading the situation previously analyzed.
|
Demand for material |
Time (in minuteren) |
Quota Percentage |
|
Need of material |
5 |
0,57% |
|
Demanded formulation RDO |
4 |
0,46% |
|
Demand approval |
2 |
0,23% |
|
Approval |
2 |
0,23% |
|
Emission RDO |
9 |
1,03% |
|
You speed up telephone |
5 |
0,03% |
|
Sum |
27 |
2,55% |
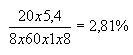
The first changes are recorded in the activity of ordinazione of the materials of the unit acquire.
The 22 ordinazioni of the inner process become hour medium 5,4 ordinazioni to the day for materials of wrap To, B and C.
The ordinazione for the materials of more wraps hard B and C to along, but it is sent only once to Unitec.
The construction of the ordinazione as an example turns out to be:


|
Ordinazione |
Time (in minuteren) |
Quota Percentage |
|
To receive the RDO |
35 |
0,91% |
|
To emit the order |
20 |
2,81% |
|
To demand Confirmation |
6 |
0,84% |
|
To distribute copies |
3 |
0,42% |
|
To record ordinazioni |
4 |
0,56% |
|
To speed up the suppliers |
7 |
0,14% |
|
Sum |
75 |
5,68% |
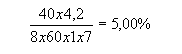
Also in the warehouse it above all changes to the allocation of cost thanks to the effects of the service of the supply integrated offered from the Unitec, described in the previous paragraphs.
The corresponding deliveries and relative verifications to the warehouse activity turn out reduced.
That allows also an improvement of the logistic flow of the materials; the incomes goodses can be organize to you better so that the acceptance goodses does not happen in irregular way.
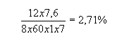
The twenty medium deliveries are reduced to 4,2 in average to the day, since happen only a delivery to the week for the goodses of wrap B and C. the control of the goods hour is executed 7,6 times in average to the day, in fact, the regarding deliveries the materials of wrap B and C demands more time, in how much is material different between they.
The acceptance and the controls of goods respective turn out to be:


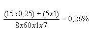
with the survey of the administration of the suppliers from part of the Unitec the activity remarkablly has reduced to the inside of the enterprise customer.
Unitec identifies and trains disturbs of process that they happen for the ordinazioni managed from she, the clarifications with the enterprise customer lasts more to along but they are rarer.
For which:

|
Reception goodses |
Time (in minuteren) |
Quota Percentage |
|
Acceptances of goods |
40 |
5,00% |
|
Controls of goods |
12 |
2,71% |
|
Clarifications with suppliers |
20 |
0,26% |
|
Sum |
72 |
7,97% |
The tidy positions and relati you the costs are represent to you medium on an only emitted cumulative invoice from Unitec once to the month instead of one pluralitΰ of invoices.
The number of the invoices comes down from 22 to 4,45 to the day.
For which it is estimated that in accounting the percentage of loading for the reception of the invoices is given they give:


|
Control of the invoices |
Time (in minuteren) |
Quota Percentage |
|
Reception invoices |
20 |
1,55% |
|
Approval invoices |
3 |
0,56% |
|
Management not consistent invoices |
10 |
0,42% |
|
Sum |
33 |
2,53% |
Also for the administration the frequency for the development of the payment comes down from 22 to 4,45 to the day.
For which it will be had:


the time for the clarification with the banks remains invariato instead:

|
Payment invoices |
Time (in minuteren) |
Quota Percentage |
|
Payment invoices |
26 |
4,02% |
|
Recording invoices |
5 |
0,77% |
|
Clarifications with the banks |
15 |
1,04% |
|
Sum |
46 |
5,83% |
On the base of these percentages, new hour of associating the single costs to the activities must.
Like previously, the first tipologia of cost regards costs for the staff
|
Costs for the staff |
Quota Percentage |
Costs of the activity |
Activity |
|
Unit of production: |
0,57% |
5.700,00 |
Need of material |
|
1.000.000 |
0,46% |
4.600,00 |
Demanded formulation RDO |
|
|
0,23% |
2.300,00 |
Demand approval |
|
|
0,23% |
2.300,00 |
Approval |
|
|
1,03% |
10.300,00 |
Emission RDO |
|
|
0,03% |
300,00 |
You speed up telephone |
|
|
2,55% |
25.500,00 |
Sum for the activity: demand for material |
|
Unit of purchase: |
0,91% |
2.275,00 |
To receive the RDO |
|
250.000 |
2,81% |
7.025,00 |
To emit the order |
|
|
0,84% |
2.100,00 |
To demand Confirmation |
|
|
0,42% |
1.050,00 |
To distribute copies |
|
|
0,56% |
1.400,00 |
To record ordinazioni |
|
|
0,14% |
350,00 |
To speed up the suppliers |
|
|
5,68% |
14.200,00 |
Sum for the activity: Ordinazione |
|
Warehouse |
5,00% |
10.000,00 |
Acceptances of goods |
|
200.000 |
2,71% |
5.420,00 |
Controls of goods |
|
|
0,26% |
520,00 |
Clarifications with suppliers |
|
|
7,97% |
15.940,00 |
Sum for the activity: Reception goodses |
|
Accounting: |
1,55% |
2.325,00 |
Reception invoices |
|
150.000 |
0,56% |
840,00 |
Approval invoices |
|
|
0,42% |
630,00 |
Management not consistent invoices |
|
|
2,53% |
3.795,00 |
Sum for the activity: Control Invoices |
|
Administration: |
4,02% |
8.040,00 |
Payment invoices |
|
200.000 |
0,77% |
1.540,00 |
Recording invoices |
|
|
1,04% |
2.080,00 |
Clarifications with the banks |
|
|
5,83% |
11.660,00 |
Sum for the activity: Payment Invoices |
On the amortizations structures and it blots of it the imputation of the costs turns out from the following table:
|
Stutture amortizations and Blot some |
Quota Percentage |
Costs of the activity |
Activity |
|
Unit of production: |
0,57% |
7.980,00 |
Need of material |
|
1.400.000 |
0,46% |
6.440,00 |
Demanded formulation RDO |
|
|
0,23% |
3.220,00 |
Demand approval |
|
|
0,23% |
3.220,00 |
Approval |
|
|
1,03% |
14.420,00 |
Emission RDO |
|
|
0,03% |
420,00 |
You speed up telephone |
|
|
2,55% |
35.700,00 |
Sum for the activity: demand for material |
|
Unit of purchase: |
0,91% |
227,50 |
To receive the RDO |
|
25.000 |
2,81% |
702,50 |
To emit the order |
|
|
0,84% |
210,00 |
To demand Confirmation |
|
|
0,42% |
105,00 |
To distribute copies |
|
|
0,56% |
140,00 |
To record ordinazioni |
|
|
0,14% |
35,00 |
To speed up the suppliers |
|
|
5,68% |
1.420,00 |
Sum for the activity: Ordinazione |
|
Warehouse |
5,00% |
5.000,00 |
Acceptances of goods |
|
100.000 |
2,71% |
2.710,00 |
Controls of goods |
|
|
0,26% |
260,00 |
Clarifications with suppliers |
|
|
7,97% |
7.970,00 |
Sum for the activity: Reception goodses |
|
Accounting: |
1,55% |
387,50 |
Reception invoices |
|
25.000 |
0,56% |
140,00 |
Approval invoices |
|
|
0,42% |
105,00 |
Management not consistent invoices |
|
|
2,53% |
632,50 |
Sum for the activity: Control Invoices |
|
Administration: |
4,02% |
1.005,00 |
Payment invoices |
|
25.000 |
0,77% |
192,50 |
Recording invoices |
|
|
1,04% |
260,00 |
Clarifications with the banks |
|
|
5,83% |
1.457,50 |
Sum for the activity: Payment Invoices |
For the material energy and consumption it turns out:
|
Material energy and consumption |
Quota Percentage |
Costs of the activity |
Activity |
|
Unit of production: |
0,57% |
1.425,00 |
Need of material |
|
250.000 |
0,46% |
1.150,00 |
Demanded formulation RDO |
|
|
0,23% |
575,00 |
Demand approval |
|
|
0,23% |
575,00 |
Approval |
|
|
1,03% |
2.575,00 |
Emission RDO |
|
|
0,03% |
75,00 |
You speed up telephone |
|
|
2,55% |
6.375,00 |
Sum for the activity: demand for material |
|
Unit of purchase: |
0,91% |
45,50 |
To receive the RDO |
|
5.000 |
2,81% |
140,50 |
To emit the order |
|
|
0,84% |
42,00 |
To demand Confirmation |
|
|
0,42% |
21,00 |
To distribute copies |
|
|
0,56% |
28,00 |
To record ordinazioni |
|
|
0,14% |
7,00 |
To speed up the suppliers |
|
|
5,68% |
284,00 |
Sum for the activity: Ordinazione |
|
Warehouse |
5,00% |
750,00 |
Acceptances of goods |
|
15.000 |
2,71% |
406,50 |
Controls of goods |
|
|
0,26% |
39,00 |
Clarifications with suppliers |
|
|
7,97% |
1.195,50 |
Sum for the activity: Reception goodses |
|
Accounting: |
1,55% |
387,50 |
Reception invoices |
|
25.000 |
0,56% |
140,00 |
Approval invoices |
|
|
0,42% |
105,00 |
Management not consistent invoices |
|
|
2,53% |
632,50 |
Sum for the activity: Control Invoices |
|
Administration: |
4,02% |
1.005,00 |
Payment invoices |
|
25.000 |
0,77% |
192,50 |
Recording invoices |
|
|
1,04% |
260,00 |
Clarifications with the banks |
|
|
5,83% |
1.457,50 |
Sum for the activity: Payment Invoices |
| Top | Summary | < < Previous | Next > > >> Home Page newsletter.unitec.it << |