Chapter 4: The cost analysis of the outsourcing of supplyings with the A.B.C.: the case Unitec Gmbh
4.3. The costs of the process of inner supplying
Before proceeding to the definition and the assessment of the costs of the activities that re-enter
in the process of inner supplying, it is necessary to describe the characteristics essential of the society considered necessary
in order to set up the entire job.
The entire volume of purchase of materials catches up the amount of 30.000.000 to the year.
Of these 6.000.000 they are reported to the materials of you wrap B and C correspondents to 20% of the entire volume of
purchase.
It is possible to calculate the medium value of the goodses acquired equal to 3.500? for a volume of approximately
8.570 pieces of material to the year.
Considering approximately 260 work days to you in a year we medium have a need of
approximately 33 pieces of material to the day.
The regarding units the supplying process occupy the following number of
persons:
|
|
Unit of production |
Purchases |
Warehouse |
Accounting |
Administration |
|
Staff |
1.000.000,00 |
250.000,00 |
200.000,00 |
150.000,00 |
200.000,00 |
|
Amortizations structures and blot some |
1.400.000,00 |
25.000,00 |
100.000,00 |
25.000,00 |
25.000,00 |
|
Energy and Consumption materials |
250.000,00 |
5.000,00 |
15.000,00 |
25.000,00 |
25.000,00 |
|
Others |
155.000,00 |
140.000,00 |
130.000,00 |
55.000,00 |
55.000,00 |
|
Sum |
€ 2.805.000,00 |
€420.000,00 |
€ 445.000,00 |
€ 255.000,00 |
€
305.000,00 |
Naturally these costs regard not only the activities for supplying but other asset.
In order to trace the part of the costs to charge to supplying, percentage must be calculated the quota reported to the single activities of supplying in relationship with all the working hours of every unit.
It is necessary therefore to decide, for an optimal time, allocation of cost of the single microactivities been involved in the process.
To such purpose we have used a module for the measurement of the times previously written up through one measurement directed in company.
For the calculation of the percentage to charge to the activities (Resource Cost Driver) we have considered the relationship between time used for the activity, and all the working hours available in the unit.
The formula analytics of the resource cost driver is following:

in the same way percentage as far as the demand of purchase order (RDO is calculated the quota), the demand of approval, the approval and the emission of the demand of purchase.
As far as the activity of prompt it is telephone it is for means fax, this hard in average five minuteren and has place two times to the day.
From that it turns out:
|
Demand for material |
Time (in minuteren) |
Quota Percentage |
|
Need of material |
5 |
0,57% |
|
Demanded formulation RDO |
4 |
0,46% |
|
Demand approval |
2 |
0,23% |
|
Approval |
2 |
0,23% |
|
Emission RDO |
9 |
1,03% |
|
You speed up telephone |
5 |
0,03% |
|
Sum |
27 |
2,55% |
In other way the unit is behaved acquires.
The activity of reception of the hard material demand for altogether 35 minuteren and is an activity that is repeated only once to the day, for which:

the reason of that is due to the fact, than from one demanded medium of 33 articles from part of the production unit, the unit purchases constructs and emits 22 ordinazioni accorpando some articles in an only ordinazione.
These values are of reference also as far as other asset ad.eccezione.del so-called disturbance of process.
The prompt one of the suppliers through fax hard three minuteren and has place to the day once, while, for hard telephone four minuteren and has place two times to the day.
Therefore:
|
Ordinazione |
Time (in minuteren) |
Quota Percentage |
|
To receive the RDO |
35 |
0,91% |
|
To emit the order |
12 |
6,88% |
|
To demand Confirmation |
5 |
2,86% |
|
To distribute copies |
3 |
1,72% |
|
To record ordinazioni |
4 |
2,29% |
|
To speed up the suppliers |
7 |
0,29% |
|
Sum |
66 |
14,95% |
As far as the warehouse , the reception activity goodses repeats in average twenty times from which:

Eventual clarifications with the suppliers medium have the duration of twelve minuteren, while the clarifications with the unit petitioner the material last in average five minuteren and they are repeated once of usual to the day, from which:

|
Reception goodses |
Time (in minuteren) |
Quota Percentage |
|
Acceptances of goods |
12 |
7,14% |
|
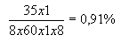
Controls of goods |
4 |
3,93% |
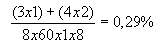
|
Clarifications with suppliers |
17 |
0,51% |
|
Sum |
33 |
11,58% |
In accounting the activity of reception of the invoices hard altogether 25 minuteren.
Of these 20 minuteren for the division and the distribution of the mail and the fax in entrance are necessary.
For which:

The clarifications for the not consistent invoices last 8 minuteren and are repeated three times to the day:

|
Control of the invoices |
Time (in minuteren) |
Quota Percentage |
|
Reception invoices |
25 |
5,42% |
|
Approval invoices |
3 |
2,75% |
|
Management not consistent invoices |
8 |
1,00% |
|
Sum |
36 |
9,17% |
For the activities reported to the administration are worth following calculates:



|
Payment invoices |
Time (in minuteren) |
Quota Percentage |
|
Payment invoices |
26 |
19,86% |
|
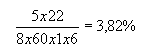
Recording invoices |
5 |
3,82% |
|
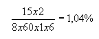
Clarifications with the banks |
15 |
1,04% |
|
Sum |
46 |
24,72% |
| Top | Summary | < < Previous | Next > > >> Home Page newsletter.unitec.it << |