This page has been automatically translate with Google from the Italian language.
Chapter 6 - Analyses of an innovative approach: Mitigation of Obsolescence Cost Analysis (MOCA).
6.3 Logical flow to the base of the MOCA6.
The analysis realized from tool the MOCA comes lead through the shown steps and the logical flow in the successive figure.
Figure 6.3: Logical flow second which the MOCA is structured tool.
In order to understand effectively better like tool the work, it will be better to analyze in the detail the several one step.
- It generates a list of actions: it arranges all the possible events like production, prefixed designs refresh and obsolescence of the single members on one timeline similar to that one shown in Par. 6.1.
- It determines the cost in case of no design refresh: it determines the life in the event cycle cost in which they do not come carries out design to you refresh adds them; this result will serve like baseline for the successive analyses of the tool. In this case, it comes assumed that the obsolete members are available near existing stocks thanks to lifetime buy or from sources after-market, to second of as it has been specified in input.
- It chooses a design plan refresh: a set of actions of design refresh comes chosen for being analyzed.
- Modification the list of actions: the list of actions originates them comes modified including pianoro the design refresh candidate to the analysis.
- It synthetizes new you leave when a member comes replaced during a design refresh, with a device whose cycle of life could not be still famous: to the aim to diminish the costs in the entire cycle of life of the system, in fact, the MOCA tries to preview the date of obsolescence of these last ones, being based on the cycle of life of the members who use the same technology of base of the device used for the substitution. In order better to explain the mechanism than this operation, bringing back an example much frequent one in the literature on the argument7.
We suppose of having to preview the date of obsolescence of a logic divice, for which the primary attribute8 is represented from the logic family of belongings. The forecast the cycles of life of the members pertaining to the device class of the member leave considering of which we want the obsolescence date and that they introduce various values of the primary attribute. In the successive figure, for example of this, the cycles of life of some logic families subdivided in various are shown the typical ones are made.
Figure 6.4: Cycles of life of some logic families.
Leaving from these data, diagrammano the dates of introduction and phase-out according to the date in which the sale peak has been taken place; such points come then interpolated with two straight ones of which are gained, then, the expression analytics. The result that is obtained is brought back in the following image.
Figure 6.5: Dates of introduction and phase-out according to the year of the peak of sale for some logic families.
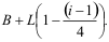
The given presumed one of obsolescence for the member who goes itself to replace is given from the following expression:
In which the terms they have meant following:
- B = Year in which it is previewed to replace the part;
- L = Lifespan of the member;
In the example L =.
- = the Index of obsolescence of the replaced part, that it corresponds to the phase of the life cycle in which this last one is found as an example (: 2= introduction; 3= maturity; 5= phase-out).
- Candidate determines the cost of the design refresh.
- He classifies the plans of design refresh based on turns out to you economic: as a result of the economic appraisal the paini of design refresh considers you they come classifies to you based on the cost and in cost more effective it comes chosen.
Tool Price H/HL comes used is in the appraisal of the single plans of design refresh, is in the final esteem of the life cycle cost of the system once that the final plan of design has been chosen refresh.
- 6: P. Sandborn, P. Singh, Electronic part obsolescence driven product redesign optimization, 6° Joint FAA/DoD/NASA Aging Aircraft Conference, 16-19 september 2002.
- 7: P. Sandborn, P. Singh. Electronic part obsolescence driven product redesign planning, IJAMS International Journal of Advanced Manufacturing Systems, Volume 7, Issue 2, 2004.
- 8: For the definition and the explanation of what it is a primary attribute of a member and the belongings to one device class I send back the CAP. 5, par 5.2.