CHAPTER I: THE WAREHOUSE
1.4.3 STOCK COSTS
The stock costs are constituted give: - financial burdens (or cost opportunity) on the invested them understood one in the supplyes; - costs of obsolescence and physical deterioration; - costs of warehousing and manipulation; - burdens insured to you. In the maintenance costs we consider only those proportional them to Q, therefore expenses does not generate them of warehouse (lighting system, movementation, administration, etc). The formula of the costs stock can therefore be expressed:

In which we indicate with:

This has an increasing course since is formed essentially from variable costs: their amount total grows to increasing of the
supplyes. Therefore to increasing of a need, they increase the amounts that come ordered (grow the medium supply).
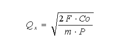
The function




It can be noticed that the economic lottery grows to growing of the costs of order and the requirementses of
supplying.
It is reduced, instead, to increasing of the cost of capital them.
Moreover to doubling itself of the
requirementses of supplying (f) the economic lottery grows for an equal coefficient to
.
The same coefficient expresses the increase of
the medium supply (Fehler!) and therefore of the maintenance costs, to demonstration of the existence of economies of
scale in the operating costs of the supplyes.
They are found but some limits to the application of the formula of the
economic lottery which concurs to optimize the operating costs of the supplyes give you to the relative parameters you to
the price, to the costs of order, the cost of capital them, to the requirementses of supplying, in the presupposed one
that these parameters remain constant to varying of the purchase lottery.
In truth, the value of these parameters can be
modified in function of the acquired amount; it is the case of the purchase price, that it can be discounted in case of
important lotteries; or of the shipping charges (comprised in the order costs), that they can grow if the purchase
lottery exceeds one sure threshold.
In such case, the model of the economic lottery is not sufficient, alone, to giving
solution to the dilemma of supplying. Sovente, because of the high dimension of the lottery of purchase or a reduced ability
to delivery of the supplier, the refueling to the warehouses is not immediate but progressive.
In such case, the model of
the economic lottery goes "fixed" because the medium supply will not be equaler to Fehler! ,
but to:
Medium Supply = Fehler!o Fehler!
where r it is the rate refueling (for time unit) and p is
the rate withdrawal of money from the warehouse (for time unit).
The economic lottery becomes
then:


In relation to the formula of the economic lottery of purchase:
to parity of requirementses (F), of unit costs of order and maintenance, assuming to adopt the model of the economic
lottery of refueling, he is more convenient for an enterprise to resort to the refueling graduates them rather than to that
immediate one. That is worth is for the maintenance costs that for the order costs.
The refueling graduates them is then more convenient for the purchaser.
Very to see, in fact, the refueling graduates
leads them the enterprise towards the JIT.

The situation limit is that one in which the rate refueling (r) he is little advanced or quite equal to the withdrawal of money rate (p). In such case, the materials that flow to the warehouse come immediately capture to you for being employ to you in the production. The supplyes stretch therefore to value ' zero '. Two modalities exist then in order to catch up the JIT and supplyes zero:

In its theoretical version, the model of the economic lottery is a model of management of the supplyes to "fixed amount and
fixed time".
It in fact concurs to determine the amount to acquire and the number of refueling to carry out.
Dividend a period considered for the refueling number it is therefore possible to determine the interval of time elapsing
between a refueling and that successive one. In absence of variability in the rates withdrawal of money (p) and the times
of delivery (it is immediate it or it graduates them), the warehouse will assume the classic course ' to comb '.

In truth, the withdrawal of money rates can be famous in their medium dimension
but to assume variable and unforeseeable values, in relation to the variability ' to go them ', that is in the rhythms of
production and/or the question of market.
It can therefore happen that the warehouse is get exaustedded before or after
the previewed one.
If the supplier has the flexibility necessary to react ready to the demands for the purchaser, not there
will be problems for this last one.
The management of the supplyes will that is follow a model "to fixed amount and variable
time".

The course of the warehouse then will be represented from a ' comb' irregular
one, with more driven in teeth hour (rates than withdrawal of money it elevates) hour more radii to you (reduced rates than
withdrawal of money).
Often, but, the supplier does not have the ability to react immediately to the orders of the purchaser.
It can that is have need of a period of time (cd. lead-Time of refueling) for 'prepare' the lottery of refueling for the
successive delivery (that he could gradually then be made in only solution or).
Every purchase order goes then 'launch'
with an equal advance payment to the lead-Time of refueling regarding the moment in which the delivery will have to happen, that
is at the moment of the previewed exhaustion of the warehouse.
A delayed delivery would involve one undesirable situation
of ' under supply'; an anticipated delivery would involve instead an uneconomical esubero of materials to supply.
The enterprise purchaser must therefore, holding account of the rates withdrawal of money from the warehouse, to estimate
the moment in which the warehouse it will be get exaustedded, for being therefore in a position to launch a purchase order with
an equal advance payment to the lead-Time of the supplier.
Of usual, the moment of the launch of the order comes identified
with the attainment in warehouse of cd. the level of reorders.
Draft of the amount of materials necessary in order to that
is guarantee the continuity of the withdrawals of money during the lead-Time (until the successive delivery).
Level of I reorder = rate withdrawal of money (p) * lead-Time + emergency supplyes


The rate withdrawal of money (p) taken to reference for the determination of the level of I reorder is of usual an estimated medium value on the base of the historical rates withdrawal of money.
The same time of delivery (lead-Time) is an only indicative and susceptible value often of changes (ritardi/anticipi) when the logistic reliability of the supplier is not total.
A management of the supplyes to level of I reorder cannot therefore eliminate of the all problem of the uncertainty. Having to anticipate the purchase order the buying enterprise is found in fact exposed to the risk of unexpected changes in the rates withdrawal of money and the times of delivery (lead-Time).
In order to avoid a "breach of the stock", that is the undesired and anticipated exhaustion of the supplyes, the purchaser then will be forced to stop of the supplyes in esubero. These exceeding supplyes the normal requirements ' medie' of the enterprise are said "emergency supplyes" and have the function to avoid undesired situations of "sottoscorta", with the relati to you dangers of interruption of the production process and/or of lacked sales.
Their entity is
proportional them to the degree of uncertainty inborn in the rates withdrawal of money and the duration of the lead-Time
and to the intentional degree of emergency (level of service).
In the hypothesis that effective rate withdrawal of money
and lead-Time second distribute around their medium value a Gaussian distribution, the optimal level of emergency supplyes
is determinable through this expression:
supplyes of security(SS) = ![]()
where:


Obvious that the tidy amount can only accidentally coincide with the economic lottery of purchase.
For how much it concerns, instead, the determination of the level of the emergency supplyes, is necessary to consider that
the bind order the purchaser for an equal period to (lead-Time + T).
Il meant of refueling lead-Time is various here that in the refueling to fixed amount: draft simply of the time of warning with
which the purchaser informs the supplier of the amounts to deliver.
It can be be a matter of considerably inferior interval also to that one demanded from the supplier in order to prepare the
delivery to variable time.
We can moreover think that fixing the time of the refueling in advance payment greater puntualitą of delivery can be counted on one (hypothesis: absence of variability of the LT).
The formula for the determination of the optimal level of emergency supplyes is following:
|
Top| Summary| << Previous | Next >>
>> Home Page newsletter.unitec.it << |