Capitolo IV: L'analisi dei costi dell'outsourcing degli approvvigionamenti con l'A.B.C.: il caso Unitec Gmbh
4.4. I costi dell'esternalizzazione del processo d'approvvigionamento.
Anche l'accertamento dei costi legati all'esternalizzazione del processo d'approvvigionamento si basa sul principio dell'activity
based costing.
Nell'ambito di questo lavoro si devono innanzitutto misurare gli effetti della relazione stretta con Unitec, sulle singole
attività del processo di approvvigionamento della società in questione.
La fasi della terziarizzazione interessano un periodo di due anni, dal 2001 al 2003, in cui la società cliente ha intrapreso
una partnership con Unitec per operare l'Outsourcing degli approvvigionamenti.
L'implementazione di questa decisione è stata graduale presso il cliente, cosicché il processo interno di approvvigionamento
dei prodotti di fascia B e C ha subito inizialmente una riduzione del carico di lavoro del reparto acquisti e successivamente
si è potuto svolgere il processo per i prodotti di fascia B e C senza la partecipazione del reparto acquisti.
Entrambe queste fasi saranno sviluppate nei paragrafi successivi considerando come dati di partenza la struttura dei costi
illustrata nella tabella 4.1. gli effetti dell'Outsourcing sono poi confrontati con la situazione dei costi senza la partnership
della Unitec.
4.4.1. I costi dell'esternalizzazione del processo d'approvvigionamento con la partecipazione del reparto acquisti.
Questo paragrafo analizza la fase intermedia all'Outsourcing degli approvvigionamenti, in cui il reparto acquisti partecipa
all'approvvigionamento dei prodotti di fascia B e C.
Anche in questo caso saranno rilevati i tempi delle singole attività e la percentuale di caricamento dei costi sulle attività.
L'attività di richiesta di materiale del reparto produzione rimane invariata in questa fase, per cui sia i
tempi che le percentuali di caricamento rispecchiano la situazione precedentemente analizzata.
|
Richiesta di materiale |
Tempo (in minuti) |
Quota Percentuale |
|
Bisogno di materiale |
5 |
0,57% |
|
Formulazione richiesta RDO |
4 |
0,46% |
|
Richiesta approvazione |
2 |
0,23% |
|
Approvazione |
2 |
0,23% |
|
Emissione RDO |
9 |
1,03% |
|
Solleciti telefonici |
5 |
0,03% |
|
Somma |
27 |
2,55% |
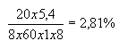
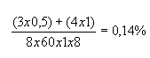
I primi cambiamenti si registrano nell'attività di ordinazione dei materiali del reparto acquisti.
Le 22 ordinazioni del processo interno diventano ora mediamente 5,4 ordinazioni al giorno per materiali di fascia A, B e C.
L'ordinazione per i materiali di fascia B e C dura più a lungo, ma è spedita solo una volta ad Unitec.
La costruzione dell'ordinazione risulta essere ad esempio:


|
Ordinazione |
Tempo (in minuti) |
Quota Percentuale |
|
Ricevere la RDO |
35 |
0,91% |
|
Emettere l'ordine |
20 |
2,81% |
|
Richiedere Conferma |
6 |
0,84% |
|
Distribuire copie |
3 |
0,42% |
|
Archiviare ordinazioni |
4 |
0,56% |
|
Sollecitare i fornitori |
7 |
0,14% |
|
Somma |
75 |
5,68% |
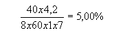
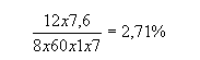
Anche nel magazzino cambia l'allocazione dei costi grazie soprattutto agli effetti del servizio della fornitura integrata offerto
dalla Unitec, descritto nei paragrafi precedenti.
Le consegne e le verifiche corrispondenti relative all'attività di magazzino risultano ridotte.
Ciò permette anche un miglioramento del flusso logistico dei materiali; gli ingressi merci possono essere organizzati meglio in
modo che l'accettazione merci non avvenga in modo irregolare.
Le venti consegne medie si riducono a 4,2 in media al giorno, poiché avviene solo una consegna alla settimana per le merci
di fascia B e C. Il controllo della merce ora è eseguito 7,6 volte in media al giorno, infatti, le consegne riguardanti i
materiali di fascia B e C richiedono più tempo, in quanto sono materiali differenti tra loro.
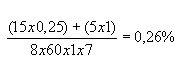
L'accettazione e i controlli di merce risultano essere rispettivamente:


con il rilevamento dell'amministrazione dei fornitori da parte della Unitec l'attività si è notevolmente ridotta all'interno
dell'impresa cliente.
Unitec identifica e amministra i disturbi di processo che avvengono per le ordinazioni gestite da lei, i chiarimenti con
l'impresa cliente durano più a lungo ma sono più rari.
Per cui:

|
Ricevimento merci |
Tempo (in minuti) |
Quota Percentuale |
|
Accettazioni di merce |
40 |
5,00% |
|
Controlli di merce |
12 |
2,71% |
|
Chiarimenti con fornitori |
20 |
0,26% |
|
Somma |
72 |
7,97% |
Le posizioni ordinate e i relativi costi sono rappresentati su un'unica fattura cumulativa emessa da Unitec mediamente una
volta al mese invece di una pluralità di fatture.
Il numero delle fatture scende da 22 a 4,45 al giorno.
Per cui si calcola che in contabilità la percentuale di caricamento per il ricevimento delle fatture è dato da:


|
Controllo delle fatture |
Tempo (in minuti) |
Quota Percentuale |
|
Ricezione fatture |
20 |
1,55% |
|
Approvazione fatture |
3 |
0,56% |
|
Gestione fatture non conformi |
10 |
0,42% |
|
Somma |
33 |
2,53% |
Anche per l'amministrazione la frequenza per lo svolgimento del pagamento scende da 22 a 4,45 al giorno.
Per cui si avrà:


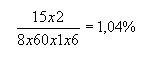
il tempo per il chiarimento con le banche rimane invece invariato:

|
Pagamento fatture |
Tempo (in minuti) |
Quota Percentuale |
|
Pagamento fatture |
26 |
4,02% |
|
Archiviazione fatture |
5 |
0,77% |
|
Chiarimenti con le banche |
15 |
1,04% |
|
Somma |
46 |
5,83% |
Sulla base di queste percentuali,si deve ora di nuovo associare i singoli costi alle attività.
Come in precedenza, la prima tipologia di costo riguarda costi per il personale
|
Costi per il personale |
Quota Percentuale |
Costi dell'attività |
Attività |
|
Reparto di produzione: |
0,57% |
€ 5.700,00 |
Bisogno di materiale |
|
1.000.000 |
0,46% |
€ 4.600,00 |
Formulazione richiesta RDO |
|
|
0,23% |
€ 2.300,00 |
Richiesta approvazione |
|
|
0,23% |
€ 2.300,00 |
Approvazione |
|
|
1,03% |
€ 10.300,00 |
Emissione RDO |
|
|
0,03% |
€ 300,00 |
Solleciti telefonici |
|
|
2,55% |
€ 25.500,00 |
Somma per l'attività: richiesta di materiale |
|
Reparto di acquisto: |
0,91% |
€ 2.275,00 |
Ricevere la RDO |
|
250.000 |
2,81% |
€ 7.025,00 |
Emettere l'ordine |
|
|
0,84% |
€ 2.100,00 |
Richiedere Conferma |
|
|
0,42% |
€ 1.050,00 |
Distribuire copie |
|
|
0,56% |
€ 1.400,00 |
Archiviare ordinazioni |
|
|
0,14% |
€ 350,00 |
Sollecitare i fornitori |
|
|
5,68% |
€ 14.200,00 |
Somma per l'attività: Ordinazione |
|
Magazzino |
5,00% |
€ 10.000,00 |
Accettazioni di merce |
|
200.000 |
2,71% |
€ 5.420,00 |
Controlli di merce |
|
|
0,26% |
€ 520,00 |
Chiarimenti con fornitori |
|
|
7,97% |
€ 15.940,00 |
Somma per l'attività: Ricevimento merci |
|
Contabilità: |
1,55% |
€ 2.325,00 |
Ricezione fatture |
|
150.000 |
0,56% |
€ 840,00 |
Approvazione fatture |
|
|
0,42% |
€ 630,00 |
Gestione fatture non conformi |
|
|
2,53% |
€ 3.795,00 |
Somma per l'attività: Controllo Fatture |
|
Amministrazione: |
4,02% |
€ 8.040,00 |
Pagamento fatture |
|
200.000 |
0,77% |
€ 1.540,00 |
Archiviazione fatture |
|
|
1,04% |
€ 2.080,00 |
Chiarimenti con le banche |
|
|
5,83% |
€ 11.660,00 |
Somma per l'attività: Pagamento Fatture |
Sugli ammortamenti strutture e macchine l'imputazione dei costi risulta dalla seguente tabella:
|
Ammortamenti Stutture e Macchine |
Quota Percentuale |
Costi dell'attività |
Attività |
|
Reparto di produzione: |
0,57% |
€ 7.980,00 |
Bisogno di materiale |
|
1.400.000 |
0,46% |
€ 6.440,00 |
Formulazione richiesta RDO |
|
|
0,23% |
€ 3.220,00 |
Richiesta approvazione |
|
|
0,23% |
€ 3.220,00 |
Approvazione |
|
|
1,03% |
€ 14.420,00 |
Emissione RDO |
|
|
0,03% |
€ 420,00 |
Solleciti telefonici |
|
|
2,55% |
€ 35.700,00 |
Somma per l'attività: richiesta di materiale |
|
Reparto di acquisto: |
0,91% |
€ 227,50 |
Ricevere la RDO |
|
25.000 |
2,81% |
€ 702,50 |
Emettere l'ordine |
|
|
0,84% |
€ 210,00 |
Richiedere Conferma |
|
|
0,42% |
€ 105,00 |
Distribuire copie |
|
|
0,56% |
€ 140,00 |
Archiviare ordinazioni |
|
|
0,14% |
€ 35,00 |
Sollecitare i fornitori |
|
|
5,68% |
€ 1.420,00 |
Somma per l'attività: Ordinazione |
|
Magazzino |
5,00% |
€ 5.000,00 |
Accettazioni di merce |
|
100.000 |
2,71% |
€ 2.710,00 |
Controlli di merce |
|
|
0,26% |
€ 260,00 |
Chiarimenti con fornitori |
|
|
7,97% |
€ 7.970,00 |
Somma per l'attività: Ricevimento merci |
|
Contabilità: |
1,55% |
€ 387,50 |
Ricezione fatture |
|
25.000 |
0,56% |
€ 140,00 |
Approvazione fatture |
|
|
0,42% |
€ 105,00 |
Gestione fatture non conformi |
|
|
2,53% |
€ 632,50 |
Somma per l'attività: Controllo Fatture |
|
Amministrazione: |
4,02% |
€ 1.005,00 |
Pagamento fatture |
|
25.000 |
0,77% |
€ 192,50 |
Archiviazione fatture |
|
|
1,04% |
€ 260,00 |
Chiarimenti con le banche |
|
|
5,83% |
€ 1.457,50 |
Somma per l'attività: Pagamento Fatture |
Per l'energia e consumo materiali risulta:
|
Energia e consumo materiali |
Quota Percentuale |
Costi dell'attività |
Attività |
|
Reparto di produzione: |
0,57% |
€ 1.425,00 |
Bisogno di materiale |
|
250.000 |
0,46% |
€ 1.150,00 |
Formulazione richiesta RDO |
|
|
0,23% |
€ 575,00 |
Richiesta approvazione |
|
|
0,23% |
€ 575,00 |
Approvazione |
|
|
1,03% |
€ 2.575,00 |
Emissione RDO |
|
|
0,03% |
€ 75,00 |
Solleciti telefonici |
|
|
2,55% |
€ 6.375,00 |
Somma per l'attività: richiesta di materiale |
|
Reparto di acquisto: |
0,91% |
€ 45,50 |
Ricevere la RDO |
|
5.000 |
2,81% |
€ 140,50 |
Emettere l'ordine |
|
|
0,84% |
€ 42,00 |
Richiedere Conferma |
|
|
0,42% |
€ 21,00 |
Distribuire copie |
|
|
0,56% |
€ 28,00 |
Archiviare ordinazioni |
|
|
0,14% |
€ 7,00 |
Sollecitare i fornitori |
|
|
5,68% |
€ 284,00 |
Somma per l'attività: Ordinazione |
|
Magazzino |
5,00% |
€ 750,00 |
Accettazioni di merce |
|
15.000 |
2,71% |
€ 406,50 |
Controlli di merce |
|
|
0,26% |
€ 39,00 |
Chiarimenti con fornitori |
|
|
7,97% |
€ 1.195,50 |
Somma per l'attività: Ricevimento merci |
|
Contabilità: |
1,55% |
€ 387,50 |
Ricezione fatture |
|
25.000 |
0,56% |
€ 140,00 |
Approvazione fatture |
|
|
0,42% |
€ 105,00 |
Gestione fatture non conformi |
|
|
2,53% |
€ 632,50 |
Somma per l'attività: Controllo Fatture |
|
Amministrazione: |
4,02% |
€ 1.005,00 |
Pagamento fatture |
|
25.000 |
0,77% |
€ 192,50 |
Archiviazione fatture |
|
|
1,04% |
€ 260,00 |
Chiarimenti con le banche |
|
|
5,83% |
€ 1.457,50 |
Somma per l'attività: Pagamento Fatture |
|
Top| Sommario| << Precedente | Successiva >>
>> Home Page newsletter.unitec.it << |