Capitolo IV: L'analisi dei costi dell'outsourcing degli approvvigionamenti con l'A.B.C.: il caso Unitec Gmbh
4.3. I costi del processo di approvvigionamento interno
Prima di procedere alla definizione e all'accertamento dei costi delle attività che rientrano nel processo di approvvigionamento
interno, è necessario descrivere le caratteristiche essenziali della società presa in esame necessarie per impostare l'intero
lavoro.
L' intero volume di acquisto di materiali raggiunge l'importo di 30.000.000 € all'anno.
Di questi 6.000.000 € sono riferiti ai materiali di fascia B e C corrispondenti al 20% dell'intero volume di acquisto.
È possibile calcolare il valore medio delle merci acquistate pari a 3.500 € per un volume di circa 8.570 pezzi di materiale
all'anno.
Considerando circa 260 giorni lavorativi in un anno abbiamo mediamente un bisogno di circa 33 pezzi di materiale al giorno.
I reparti riguardanti il processo di approvvigionamento occupano il seguente numero di persone:
|
|
Reparto di produzione |
Acquisti |
Magazzino |
Contabilità |
Amministrazione |
|
Personale |
€ 1.000.000,00 |
€ 250.000,00 |
€ 200.000,00 |
€ 150.000,00 |
€ 200.000,00 |
|
Ammortamenti strutture e macchine |
€ 1.400.000,00 |
€ 25.000,00 |
€ 100.000,00 |
€
25.000,00 |
€
25.000,00 |
|
Energia e Consumo materiali |
€ 250.000,00 |
€ 5.000,00 |
€
15.000,00 |
€
25.000,00 |
€
25.000,00 |
|
Altri |
€
155.000,00 |
€ 140.000,00 |
€ 130.000,00 |
€
55.000,00 |
€
55.000,00 |
|
Somma |
€ 2.805.000,00 |
€420.000,00 |
€ 445.000,00 |
€ 255.000,00 |
€
305.000,00 |
Naturalmente questi costi riguardano non solo le attività per l'approvvigionamento ma altre attività.
Per rintracciare la parte dei costi da imputare all'approvvigionamento, deve essere calcolato la quota percentuale riferito
alle singole attività dell'approvvigionamento in rapporto con tutto l'orario di lavoro di ogni reparto.
È necessario dunque disporre, per un'ottimale allocazione dei costi, dei tempi delle singole microattività coinvolte nel processo.
A tal proposito abbiamo utilizzato un modulo per la misurazione dei tempi precedentemente redatto tramite una misurazione diretta
in azienda.
Per il calcolo della percentuale da imputare alle attività (Resource Cost Driver) abbiamo considerato il rapporto tra tempo usato
per l'attività, e tutto l'orario di lavoro disponibile nel reparto.
La formula analitica del resource cost driver è la seguente:

nello stesso modo è calcolata la quota percentuale per quanto riguarda la richiesta d'ordine d'acquisto (RDO),
la richiesta d'approvazione, l'approvazione e l'emissione della richiesta d'acquisto.
Per quanto riguarda l'attività di sollecito sia telefonico sia per mezzo fax, questa dura in media cinque minuti ed ha
luogo due volte al giorno.
Da ciò risulta:
|
Richiesta di materiale |
Tempo (in minuti) |
Quota Percentuale |
|
Bisogno di materiale |
5 |
0,57% |
|
Formulazione richiesta RDO |
4 |
0,46% |
|
Richiesta approvazione |
2 |
0,23% |
|
Approvazione |
2 |
0,23% |
|
Emissione RDO |
9 |
1,03% |
|
Solleciti telefonici |
5 |
0,03% |
|
Somma |
27 |
2,55% |
In altro modo si comporta il reparto acquisti.
L'attività di ricevimento della richiesta di materiale dura complessivamente 35 minuti ed è un'attività che si ripete solo una
volta al giorno, per cui:

la ragione di ciò è dovuta al fatto, che da una richiesta media di 33 articoli da parte del reparto di produzione, il reparto
acquisti costruisce ed emette 22 ordinazioni accorpando alcuni articoli in un'unica ordinazione.
Questi valori sono di riferimento anche per quanto riguarda le altre attività ad eccezione del cosiddetto disturbo di processo.
Il sollecito dei fornitori tramite fax dura tre minuti e ha luogo una volta al giorno, mentre, per telefono dura quattro minuti
e ha luogo due volte al giorno.
Dunque:
|
Ordinazione |
Tempo (in minuti) |
Quota Percentuale |
|
Ricevere la RDO |
35 |
0,91% |
|
Emettere l'ordine |
12 |
6,88% |
|
Richiedere Conferma |
5 |
2,86% |
|
Distribuire copie |
3 |
1,72% |
|
Archiviare ordinazioni |
4 |
2,29% |
|
Sollecitare i fornitori |
7 |
0,29% |
|
Somma |
66 |
14,95% |
Per quanto riguarda il magazzino, l'attività di ricevimento merci si ripete in media venti volte da cui:

Eventuali chiarimenti con i fornitori hanno mediamente la durata di dodici minuti, mentre i chiarimenti con il reparto
richiedente il materiale durano in media cinque minuti e si ripetono di solito una volta al giorno, da cui:

|
Ricevimento merci |
Tempo (in minuti) |
Quota Percentuale |
|
Accettazioni di merce |
12 |
7,14% |
|
Controlli di merce |
4 |
3,93% |
|
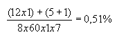
Chiarimenti con fornitori |
17 |
0,51% |
|
Somma |
33 |
11,58% |
In contabilità l'attività di ricezione delle fatture dura complessivamente 25 minuti.
Di questi sono necessari 20 minuti per la ripartizione e la distribuzione della posta e dei fax in entrata.
Per cui:

I chiarimenti per le fatture non conformi durano 8 minuti e sono ripetuti tre volte al giorno:

|
Controllo delle fatture |
Tempo (in minuti) |
Quota Percentuale |
|
Ricezione fatture |
25 |
5,42% |
|
Approvazione fatture |
3 |
2,75% |
|
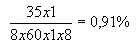
Gestione fatture non conformi |
8 |
1,00% |
|
Somma |
36 |
9,17% |
Per le attività riferite all'amministrazione valgono i seguenti calcoli:



|
Pagamento fatture |
Tempo (in minuti) |
Quota Percentuale |
|
Pagamento fatture |
26 |
19,86% |
|
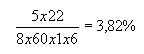
Archiviazione fatture |
5 |
3,82% |
|
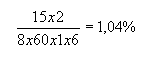
Chiarimenti con le banche |
15 |
1,04% |
|
Somma |
46 |
24,72% |
|
Top| Sommario| << Precedente | Successiva >>
>> Home Page newsletter.unitec.it << |