CAPITOLO I: IL MAGAZZINO
1.4.3 COSTI DI STOCCAGGIO
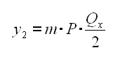
I costi di stoccaggio sono costituiti da: - oneri finanziari ( oppure costi opportunità) sul capitale investito nelle scorte; - costi di obsolescenza e di deterioramento fisico; - costi di magazzinaggio e manipolazione; - oneri assicurativi. Nei costi di mantenimento consideriamo soltanto quelli proporzionali a Q, non quindi le spese generali di magazzino (illuminazione, movimentazione, amministrazione, ecc.). La formula dei costi di stoccaggio può essere così espressa:

Nella quale indichiamo con:

Questa ha un andamento crescente poiché è formata essenzialmente da costi variabili: il loro ammontare totale cresce all'aumentare
delle scorte. Quindi all'aumentare di un bisogno, aumentano le quantità che vengono ordinate (cresce la scorta media).
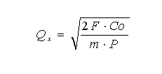
La funzione




Si può notare che il lotto economico cresce al crescere dei costi di ordinazione e del fabbisogno di approvvigionamento.
Si riduce, invece, all'aumentare del costo del capitale.
Inoltre al raddoppiarsi del fabbisogno di approvvigionamento (F) il lotto economico cresce per un coefficiente pari a
.
Lo stesso coefficiente esprime la crescita della scorta media (Fehler!) e quindi dei costi di mantenimento, a dimostrazione
dell'esistenza di economie di scala nei costi di gestione delle scorte.
Si riscontrano però alcuni limiti all'applicazione della formula del lotto economico la quale consente di ottimizzare i costi
di gestione delle scorte dati i parametri relativi al prezzo, ai costi di ordinazione, al costo del capitale, al fabbisogno di
approvvigionamento, nel presupposto che questi parametri rimangano costanti al variare del lotto di acquisto.
In realtà, il valore di questi parametri può modificarsi in funzione della quantità acquistata; è il caso del prezzo di acquisto,
che può essere scontato in caso di lotti rilevanti; o dei costi di trasporto (compresi nei costi di ordinazione),
che possono crescere se il lotto di acquisto supera una certa soglia.
In tal caso, il modello del lotto economico non è sufficiente, da solo, a dare soluzione al dilemma dell'approvvigionamento.
Sovente, a causa della dimensione elevata del lotto di acquisto o di una ridotta capacità di consegna del fornitore,
il rifornimento ai magazzini non è immediato ma progressivo.
In tal caso, il modello del lotto economico va 'aggiustato' perché la scorta media non sarà più pari a Fehler! ,
ma a:
Scorta Media = Fehler!o Fehler!
dove r è il tasso di rifornimento (per unità di tempo) e p è il tasso di prelievo dal magazzino (per unità di tempo).
Il lotto economico diventa allora:


In relazione alla formula del lotto economico d'acquisto :
a parità di fabbisogno (F), di costi unitari di ordinazione e di mantenimento, ipotizzando di adottare il modello del
lotto economico di rifornimento, è più conveniente per un'impresa ricorrere al rifornimento graduale piuttosto che a
quello immediato. Ciò vale sia per i costi di mantenimento che per i costi di ordinazione.
Il rifornimento graduale è allora più conveniente per l'acquirente.
A ben vedere, infatti, il rifornimento graduale conduce l'impresa verso il JIT.

La situazione limite è quella in cui il tasso di rifornimento (r) è di poco superiore o addirittura uguale al tasso di prelievo (p). In tal caso, i materiali che affluiscono al magazzino vengono immediatamente prelevati per essere impiegati nella produzione. Le scorte tendono quindi al valore 'zero'. Esistono allora due modalità per raggiungere il JIT e le scorte zero:

Nella sua versione teorica, il modello del lotto economico è un modello di gestione delle scorte a "quantità fissa e tempo fisso".
Esso infatti consente di determinare la quantità da acquistare e il numero di rifornimenti da effettuare.
Dividendo il periodo considerato per il numero di rifornimenti è così possibile determinare l'intervallo di tempo intercorrente
tra un rifornimento e quello successivo. In assenza di variabilità nei tassi di prelievo (p) e nei tempi di consegna
(sia essa immediata o graduale), il magazzino assumerà il classico andamento 'a pettine'.

In realtà, i tassi di prelievo possono essere noti nella loro dimensione media ma assumere valori variabili ed imprevedibili,
in relazione alla variabilità 'a valle', cioè nei ritmi di produzione e/o nella domanda di mercato.
Può così accadere che il magazzino si esaurisca prima o dopo il previsto.
Se il fornitore ha la flessibilità necessaria a reagire prontamente alle richieste dell'acquirente, non ci saranno problemi
per quest'ultimo.
La gestione delle scorte seguirà cioè un modello "a quantità fissa e a tempo variabile".

L'andamento del magazzino sarà allora rappresentato da un 'pettine' irregolare, con denti ora più fitti (tassi di prelievo elevati)
ora più radi (tassi di prelievo ridotti).
Spesso, però, il fornitore non ha la capacità di reagire immediatamente agli ordini dell'acquirente.
Egli può cioè aver bisogno di un periodo di tempo (cd. lead-time di rifornimento) per 'preparare' il lotto di rifornimento
per la successiva consegna (che potrà poi essere fatta in unica soluzione o gradualmente).
Ogni ordine di acquisto va allora 'lanciato' con un anticipo pari al lead-time di rifornimento rispetto al momento in cui
dovrà avvenire la consegna, cioè al momento dell'esaurimento previsto del magazzino.
Una consegna ritardata comporterebbe una indesiderabile situazione di 'sottoscorta'; una consegna anticipata comporterebbe invece
un antieconomico esubero di materiali a scorta.
L'impresa acquirente deve quindi, tenendo conto dei tassi di prelievo dal magazzino, stimare il momento in cui il magazzino
si esaurirà, per essere così in grado di lanciare un ordine di acquisto con un anticipo pari al lead-time del fornitore.
Di solito, il momento del lancio dell'ordine viene identificato con il raggiungimento in magazzino del cd. livello di riordino.
Si tratta della quantità di materiali necessaria per garantire la continuità dei prelievi durante il lead-time
(cioè fino alla successiva consegna).
Livello di riordino = tasso di prelievo (p) * lead-time + scorte di sicurezza


Il tasso di prelievo (p) preso a riferimento per la determinazione del livello di riordino è di solito un valore medio stimato
sulla base dei tassi storici di prelievo.
Lo stesso tempo di consegna (lead-time) è un valore spesso soltanto indicativo e suscettibile di cambiamenti (ritardi/anticipi)
quando l'affidabilità logistica del fornitore non è totale.
Una gestione delle scorte a livello di riordino non può quindi eliminare del tutto il problema dell'incertezza.
Dovendo anticipare l'ordine di acquisto l'impresa acquirente si trova infatti esposta al rischio di cambiamenti improvvisi nei
tassi di prelievo e nei tempi di consegna (lead-time).
Per evitare una "rottura dello stock", cioè l'esaurimento indesiderato ed anticipato delle scorte, l'acquirente sarà allora
costretto a detenere delle scorte in esubero. Queste scorte eccedenti le normali esigenze 'medie' dell'impresa sono dette
"scorte di sicurezza" e hanno la funzione di evitare indesiderate situazioni di "sottoscorta", con i relativi pericoli di
interruzione del processo produttivo e/o di mancate vendite.
La loro entità è proporzionale al grado di incertezza insita nei tassi di prelievo e nella durata del lead-time e al grado
di sicurezza voluto (livello di servizio).
Nell'ipotesi che tasso di prelievo e lead-time effettivi si distribuiscano attorno al loro valore medio secondo una distribuzione
gaussiana, il livello ottimale di scorte di sicurezza è determinabile attraverso questa formula:
scorte di sicurezza(SS) = ![]()
dove:


E' evidente che la quantità ordinata può soltanto casualmente coincidere con il lotto economico di acquisto.
Per quanto concerne, invece, la determinazione del livello delle scorte di sicurezza, occorre considerare che l'ordinazione vincola
l'acquirente per un periodo pari a (lead-time + T).
Il significato di lead-time di rifornimento è qui diverso che nel rifornimento
a quantità fissa: si tratta semplicemente del tempo di preavviso col quale l'acquirente informa il fornitore delle quantità da
consegnare. Può trattarsi di intervallo anche sensibilmente inferiore a quello richiesto dal fornitore per apprestare la consegna
a tempo variabile.
Possiamo inoltre ritenere che fissando il tempo del rifornimento in anticipo si possa contare su una maggiore puntualità di
consegna (ipotesi: assenza di variabilità del LT).
La formula per la determinazione del livello ottimale di scorte di sicurezza è la seguente:
|
Top| Sommario| << Precedente | Successiva >>
>> Home Page newsletter.unitec.it << |